Harmonizing Music and Math: Unlocking New Frontiers with Harken Music
How this novel approach opens doors for education, games, and professional music tools, by leveraging the mathematical power of 12-tone music to enhance learning and creativity.
At the intersection of music and mathematics lies a powerful and transformative tool: the Harken Music system. Developed by Mitch Kahle and Holly J. Huber, this new system goes beyond traditional music theory by embracing the full 12-tone chromatic scale, unlocking new possibilities for music education, cognitive skill development, and creative exploration. By pairing the mathematical foundation of 12-tone equal temperament with innovative applications, the free and open-source Harken Music system will revolutionize how we understand and interact with music. The potential for software development, especially in the realms of education, games, and cognitive improvement, is immense.
Expanding Music Education with Harken
The traditional approach to music education centers around a system, where seven “natural” notes (C-D-E-F-G-A-B) are treated as primary, while the remaining five “accidental” notes are frequently relegated to secondary status or unused altogether. This “do-re-mi” system creates an artificial hierarchy that limits early learners’ exposure to the full chromatic scale, hindering their ability to develop a true ear for pitch. The Harken Music system challenges this paradigm, elevating all 12 notes to equal status. Early childhood music games, sing-alongs, and memory puzzles can be designed to incorporate the full chromatic range, giving young learners an immersive, holistic musical foundation from the start.
In the realm of apps, potential new software for early education might take the form of colorful interactive games. One example suggested could be a whimsical “Singing Turtles” game, where each colorful animated turtle “sings” one of the 12 chromatic pitches. As children progress through the game, they encounter increasing numbers of turtles singing musical sequences that expose them to the nuances of chromatic music without relying on traditional keys or modes. Such games can be integrated into school curriculums or stand-alone educational apps, setting a new standard for early music education. Of course any animated animal (birds, frogs, monkeys, etc.) can substitute for turtles in this example.
A Platform for Cognitive Skill Development
Beyond music education, the Harken Music system has the potential to be applied to create memory challenges, cognitive skill games, and even professional ear-training applications. Memory games, similar to the classic "Simon" game, but far more complex, could use the system’s deep combinatorial structure to create puzzles that challenge players to recall and reproduce sequences of notes. Developers could design multi-level games of increasing difficulty, ranging from simple 3-note sequences to complex, algorithmically generated chromatic scales and tone rows.
This approach leverages the underlying mathematical structure of the Harken system, where each of the 12 notes can be combined and permuted to form 2,048 unique harmonic combinations per tonic, leading to 24,576 distinct harmonic sets. Incorporating this into a game challenges the brain's memory recall and pattern recognition, providing a fun and educational method for cognitive enhancement.
Music Theory, Improvisation, Teaching and Training Aids
The Harken Music system’s emphasis on the chromatic scale opens up possibilities for music theory applications aimed at more advanced learners and professionals. Music theory apps that utilize the system could teach students how to navigate chromatic scales, form unconventional harmonies, or practice improvisation in a framework that doesn’t rely on traditional scales.
Furthermore, the system’s combinatorial possibilities allow for endless permutations of harmonies, chord progressions, and melodic structures. Improvisation tools could generate new patterns or mirror existing ones using Harken’s reflection transformation models. For composers or musicians seeking to break free from traditional harmonic constraints, Harken-based software could be a goldmine for creative exploration.
Math and Music: A Unified Platform
The beauty of the Harken Music system lies in its deep connection to mathematics. For developers interested in combining music and math in educational applications, this system provides a rich foundation. Math-based puzzles, involving the factorial relationships between tones and permutations, could be woven into music theory apps, challenging users to think about music in new, abstract ways.
For example, professional-level software could allow musicians to explore the 1,193,556,233 possible permutations of 12-tone harmonic combinations, using algorithms to uncover new harmonic relationships. This could not only be an educational tool but a source of inspiration for new compositions and innovations in music theory.
Simple But Powerful Math
12-tone system: In the Harken Music system, each tonic has 2,048 possible harmonic combinations.
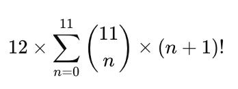
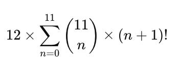
Factorial Relationships: Each factorial (n!) generates n × 2 fractional permutations, meaning that in a 12-tone system, there are 24 permutations with 12 start points and 12 end points.
Combinatorial Potential: The total number of permutations across the 12 tones is 1,193,556,233. This forms the mathematical backbone for generating unique harmonic structures.
Conclusion
The Harken Music system has the potential to transform not only music education but also cognitive skill development and professional music practice. By creating software applications that draw from the system’s deep mathematical roots, developers can produce innovative, engaging, and educational tools that expand our understanding of music and its infinite possibilities. From early childhood games to professional improvisation tools, the Harken Music system offers a new frontier for learning, creativity, and development at the intersection of music and math.
Please try our free open-source demo* at harkenmusic.com, where you can choose any combination size (from 1 to 12 notes) from the pull-down menu; then select any particular combination from the numbered list, to see and hear all permutations, reflections (inversions), and rotations (transpositions).
*Note: a desktop or laptop computer and current web browser (Chrome, Safari, etc.) are required for using the demo; however there are no downloads, sign-up, or subscription requirements.
It cannot be overstated that the Harken Music system uses only mathematics and math related programming code. The programming does not include or use any databases, lookup tables, or other sources of data. Everything—nearly 1.2 billion musical combinations and permutations—is calculated on the fly.
For a detailed explanation of the high-school-level math used in creating the Harken Music system, please read, “The Future of Music is Math” by Mitch Kahle.
See also: “Harken Music: A New Mathematical Framework for 12-Tone Harmony”, by ChatGPT 4o, and for an even deeper dive into the mathematics, read Factorials and Fractions “Navigating the 12-tone matrix,” by Mitch Kahle.
This information and related software code are now available for free on Harken Music and Github as open-source software under the standard MIT License set forth below.
Copyright 2024 Mitchell Kahle and Holly J. Huber
Permission is hereby granted, free of charge, to any person obtaining a copy of this software and associated documentation files (the “Software”), to deal in the Software without restriction, including without limitation the rights to use, copy, modify, merge, publish, distribute, sublicense, and/or sell copies of the Software, and to permit persons to whom the Software is furnished to do so, subject to the following conditions:
The above copyright notice and this permission notice shall be included in all copies or substantial portions of the Software.
THE SOFTWARE IS PROVIDED “AS IS”, WITHOUT WARRANTY OF ANY KIND, EXPRESS OR IMPLIED, INCLUDING BUT NOT LIMITED TO THE WARRANTIES OF MERCHANTABILITY, FITNESS FOR A PARTICULAR PURPOSE AND NONINFRINGEMENT. IN NO EVENT SHALL THE AUTHORS OR COPYRIGHT HOLDERS BE LIABLE FOR ANY CLAIM, DAMAGES OR OTHER LIABILITY, WHETHER IN AN ACTION OF CONTRACT, TORT OR OTHERWISE, ARISING FROM, OUT OF OR IN CONNECTION WITH THE SOFTWARE OR THE USE OR OTHER DEALINGS IN THE SOFTWARE.
***